
「コデイン」についての簡単な解説です。
「ジヒドロコデイン」とほぼ同じ内容ですね。
コデインを含む市販薬の製品一覧
解説記事を書いたことのある製品を載せています。
鎮咳去痰薬
分類・作用機序
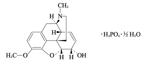
コデインリン酸塩水和物の化学構造式

分類
いわゆる「咳止め」ですが、
その中でも「中枢性麻薬性鎮咳薬」となります。
「麻薬性」となっていますが、麻薬です。
「麻薬じゃないよ」という医師もいるかもしれませんが、濃度の低いものは法律上では麻薬に分類されないだけですね。
似たような薬で「ジヒドロコデイン」がありますが、同じ量であればジヒドロコデインの方が鎮咳作用は強めです。
コデインもジヒドロコデインも「指定濫用防止医薬品」に含まれます。
(今までは「濫用等のおそれのある医薬品」という名前でした)
ちなみに、医療従事者は「リンコ」とか「リンコデ」って言います。
今は「コデインリン酸塩」ですが、以前は「リン酸コデイン」だったんですよね。
作用機序
脳にある咳中枢を抑制することで咳を抑えます。
咳は本来、肺や気管などの呼吸器を守るために、外から入ってきた異物(ほこりやウイルスなど)を外に追い出す生体防御反応です。
気道粘膜上のセンサーが異物を感じ取ると、脳の咳中枢に信号が送られて咳が出ますが、この信号を抑えることで咳を鎮めるんですね。
効果や使用方法
効果
・咳を抑える
・痛みを抑える
・下痢を止める
などの効果があります。
市販薬では咳止めのみに配合されています。おそらくは「アネトン」のシリーズのみにしか使われてないと思います(きつね調べ)。
ジヒドロコデインの方は総合感冒薬や鎮咳去痰薬のかなり多くの製品で使われているのですが。
ジヒドロコデインの方が鎮咳作用が約1.4倍強く、配合する量が少なくて済むからでしょうか。
(ちなみに1.4倍というのはイヌでのことで、ネコだと1.1倍のようです(「コデインリン酸塩水和物「タケダ」原末」のインタビューフォームより))
※コデインとジヒドロコデインの鎮咳作用の強さについての補足
「2倍なのか?1.4倍なのか?」という事についての考察です。
(マニアックなので折り畳みにしておきます。あと、一番下に各作用のジヒドロコデインとの比較表を載せておきます)
クリック・タップで開きます。
コデインとジヒドロコデインの鎮咳作用ですが、先に書いた通り
「ジヒドロコデインの方が、イヌでは1.4倍、ネコでは1.1倍強い」
となっています。
下のは「コデインリン酸塩水和物「タケダ」原末」のインタビューフォームの一部です。

このデータは他のメーカーのインタビューフォームでは見当たりませんでした。「タケダ」のみですね。
他のはどれも「鎮咳作用はコデインリン酸塩水和物の約1.4倍である」という事しか書いてありません。
で、それは良いのですが、本やネットでたまに
「ジヒドロコデインの鎮咳作用はコデインの2倍程度の力価」
と書いてるものがあります。
きつねが普段仕事でも使っている『今日の治療薬』という本でも「2倍」と書いてあるし、ネットで調べると「日本緩和医療学会」というところの資料でも「2倍」と書いてます。

この「2倍」の根拠を探したのですが見つかりませんでした。
あと、うちにある『今日のOTC薬』も「2倍」になってますね。
ただ、自分も以前は確か「2倍」って覚えてたような?と思って調べてみました。で、見つかったのがこれ。
下のが2020年改訂の「ジヒドロコデインリン酸塩散1%「メタル」」のインタビューフォームの一部です。

そして下のが2009年改訂の「リン酸ジヒドロコデイン散1%「メタル」」のインタビューフォームの一部です。

製品名の表記の仕方が違いますが、この2つは全く同じものです。2019年に名称を変えてるようです。
また、下のは2017年改訂の「ジヒドロコデインリン酸塩散1%「タカタ」」のインタビューフォームの一部です。

2009年の「メタル」と全く同じですね。ちなみにこの「タカタ」の製品は今は存在しません。
現在は全てのメーカーの添付文書・インタビューフォームで「1.4倍」となっています(〇倍と書いてないのもあるけど)。
以前は「2倍」とされてたんですね。なかなか過去のインタビューフォームが見つからないので他の製品だとどう書いてあったかは分からないのですが、2017年までは「2倍」とされていたのは間違いないようです。
でも上の画像のイヌ・ネコのデータは1969年の書籍のものです。
なのになぜ最近まで「2倍」とされていたのか?
イヌ・ネコとヒトで変わってくるのは当たり前なのですが、その根拠となるデータがありません。いくつかのAIに海外でそういうデータがないか探してもらったのですが、見つからないとのことです。
で、これは個人的な考えなのですが…
コデイン・ジヒドロコデインは、現在存在する製品で一番販売が古いものは次のようになっています。
- コデインリン酸塩水和物「タケダ」原末:1913年1月
- ジヒドロコデインリン酸塩散10%「タケダ」:1952年11月
その時にはもちろん用量・用法は設定されています。おそらく今と同じでしょう。
つまり1952年時点で、コデインは1日60mg、ジヒドロコデインは1日30mg。
当時は「ジヒドロコデインの鎮咳作用はコデインの2倍」とされていたはずなので、この用量設定で問題なかったでしょうね。
で、先ほどのイヌ・ネコのデータは1969年に出版された書籍に書いてあるものです。
実験が行われた年は明記されていませんが、ジヒドロコデインの国内発売が1952年であるため、少なくともそれ以降、1950年代後半~1960年代初頭に行われた可能性が高いと考えられます。
(データの方が1952年より前に出てるとすれば、今の用量にはなってなかったでしょう)
つまり、すでに販売されて使われてるんですね。
メーカーはどうするでしょうか?用量の設定を変えるでしょうか?
たぶんそれはしないし、実際にしていません。
すでに現場で使われていて、その「効果・安全性に問題なし」と分かっていたからでしょう。
その用量設定のまま、現在まで続いてるんですね。治験をし直すのも大変です。
なので、今も慣習的に
- コデイン:1回20mg・1日60mg
- ジヒドロコデイン:1回10mg・1日30mg
という使われ方をしているのでしょう。
「実際には1.4倍」だけど、「臨床的には2倍でいい」ということですね。
用量は決まっていて効果に問題がない。それなら「2倍」という慣例を今さら直す必要もない――というのが現実なのでしょう。
そもそも鎮咳作用なんて曖昧です。「なんか楽になったな~」と患者さんが思ってくれればいいわけです。
薬を使わなくても数日で良くなる人が多いので、実際の効果なんて分かりませんし。
(各インタビューフォームで「薬効を裏付ける試験成績」の項目があるので、興味のある方は見てみてください。「ジヒドロコデイン インタビューフォーム」で検索すると出てきます)
どちらを基準にするかで変わってくるのですが、ジヒドロコデインが1日30mgで効果があるなら、コデインはせいぜい1日45mgで同等の効果が得られるかと思います。
※コデインとジヒドロコデインのそれぞれの作用の強さの比較を表にまとめておきます。
(インタビューフォームを参考にしていますが、あくまで目安と思ってください)
| 作用 | コデイン | ジヒドロコデイン |
|---|---|---|
| 鎮咳作用 | 1 | 1.4 |
| 鎮痛作用 | 1 | 2 |
| 腸管運動抑制作用 | 1 | 2.67 |
| 催眠作用 | 1 | 1 |
| 呼吸抑制作用 | 1 | 1 |
| 嗜癖性(依存性) | 極軽度 | 軽度 |
※ここの部分は「ジヒドロコデイン」の記事のと同じです。
どちらにしてもこういう中枢性の鎮咳薬はあまりおすすめできません。
風邪のほとんどは上気道のウイルス感染で、そのウイルスを追い出すために咳が出るわけです。
なのでその咳を止めてしまうと逆に悪化して、気管支炎や肺炎になる可能性もあります。
風邪をひいた時でも軽めの咳であれば、咳止めは使わないで様子を見た方が良いかと思います。
ただの風邪であれば数日~1週間程度で良くなるはずですし。
ただ、激しい咳の場合は体力の消耗が激しいし、咳のし過ぎで肋骨を折る人もいるし、このご時世だと周りの目も気になるでしょう。
この辺は人それぞれのさじ加減になりますが、薬を使う意義もあるかもしれませんね。
というか、激しい咳が出るなら病院に行ってください。ただの風邪ではない可能性もあります。
医療用の使用例
基本的には強い咳に対して使います。
痰の絡んでいない咳に使いますね。
痰が絡んだ咳にこの薬を単独で使うとよけいに痰が出しにくくなるので基本的には使いませんが、使う場合には去痰薬を併用します(医師によるけど)。
あと、消化管の動きを抑制するので下痢止めとしても使いますね。
咳止めとしてよりは下痢止めとして処方されることの方が多い印象です。
ただ、どちらの使い方でもあまり長期間は使いません。
頓服という感じで症状が強い時だけ使います。
あまり風邪の咳には使用してほしくない薬ではあるのですが、普通に処方されてますね。
この辺は医師によっても考えが異なると思いますが。
用法・用量
市販薬だと「アネトン」のみですが
『アネトンせき止め液』:1回約8.3mg・1日6回まで(最大1日50mg)
『アネトンせき止め錠』:1回12.5mg・1日4回まで(最大1日50mg)
となっています。
医療用では通常は
1回20mg・1日3回(最大1日60mg)
となっています。
市販の鎮咳去痰薬には最大で1日60mg配合できるので、医療用と同じですね。
それが良いとは言えませんけど。
『アネトン』の場合、1日の服用回数上限まで服用するとコデインは50mg/日になります。
咳止めの強さはジヒドロコデイン:35.7mgと同等ですね。
ジヒドロコデインの最大量は30mg/日です。
量的にはそれよりも多いということになり、単一成分での中枢性鎮咳薬の量としては市販薬で最大となります。
また、「コデインリン酸塩散1%「第一三共」」の添付文書には次にような記載があります。少し省略してます。
コデインの5~15%がモルヒネに代謝変換され鎮痛作用を示す。
鎮痛効果はモルヒネの1/6、精神機能鎮静作用は1/4、睡眠作用も1/4、鎮咳効果は1/8~1/9とされている。
コデインはモルヒネの前駆体ですが、5~15%がモルヒネに変換されるとすれば、
コデイン:60mg(1日最大量) ≒ モルヒネ:3~9mgですね。
モルヒネは癌性疼痛にも使われますが、例えばレスキュー(疼痛時頓用)で使われる「オプソ内服液」だと1回5mgから使われます。
コデインの1日量がモルヒネの1回量程度、という感じですね。
使用上の注意点
禁忌
医療用の添付文書に載っているものを全て書いておきます。
- 重篤な呼吸抑制のある人
- 12歳未満の小児
- 扁桃摘除術後又はアデノイド切除術後の鎮痛目的で使用する18歳未満の患者
- 気管支喘息発作中の人
- 重篤な肝機能障害のある人
- 慢性肺疾患に続発する心不全の人
- 痙攣状態(てんかん重積症、破傷風、ストリキニーネ中毒)にある人
- 急性アルコール中毒の人
- アヘンアルカロイドに対し過敏症の人
- 出血性大腸炎の人
痙攣状態の人や急性アルコール中毒を起こしてる人が「そうだ、市販薬を飲もう」なんて考えないと思うので、その辺は気にしなくて良いと思います。
以前は小児にも使えたのですが、2019年から12歳未満は使用できなくなりました。
海外において、死亡を含む重篤な呼吸抑制のリスクが高いとの報告があるそうです。
あと、「咳止め」なのに気管支喘息には禁忌となっています(発作中でなくても)。
コデインは気道の分泌を抑制することで痰の粘調度が増したり(痰が固くなる)、気管支を収縮させる作用もあるので喘息には使いません。
あと一番下に「出血性大腸炎」と書いてますが、これに限らず細菌性の下痢には基本的に下痢止めは使いません。
止めるよりも出してしまった方が良いので。
(あまりにも辛かったら一時的に使うかも)
副作用
「何がどのくらい」という詳細なデータはないのですが、この系統の薬において注意しておいていただきたい事を書いておきます。
呼吸抑制
重大な副作用として、呼吸抑制があります。
12歳未満に使用できなくなったのもこれのせいですね。
海外ではコデイン類含有製剤での死亡例があるとのことです。
日本人は遺伝学的に欧米人よりは起きにくいそうですが、安全性を考えてという事でしょう。
日本ではコデインでもジヒドロコデインでも呼吸抑制による死亡例はないそうです。
故意に大量に飲んだりしなければそれほど問題になる事はありませんが、子供の誤飲には注意を!
息切れしたり、なんか呼吸が浅くなって息苦しいなどあれば、すぐに中止してください。
依存性
麻薬なので、長期で使用してると依存が形成される事があります。
連用中に急にやめると、あくび、くしゃみ、流涙、発汗、悪心、嘔吐、下痢、腹痛、散瞳、頭痛、不眠、不安、せん妄、振戦、全身の筋肉・関節痛、呼吸促迫等の退薬症候があらわれることがあります。
依存が形成されてしまった場合は急に止めずに徐々に減らしていく事になりますが、まずは受診して医師に相談してください。
こういう事があるので、これは基本的には短期間、または頓服で使用するべきものだと思います。
便秘
この系統で起こりやすい副作用の一つ目が便秘です。
そもそも下痢止めとしても使いますしね。
ひどい場合は麻痺性イレウスになる可能性もあるので、普段から便秘傾向の方は注意してください。
病院だと酸化マグネシウムなどの緩下剤と一緒に処方されることも多いですね。
便秘の予防のためにもこまめに水分は摂るようにしましょう。
この薬を飲んでなくても、風邪の時には発熱や発汗によって脱水傾向になりやすいので水分摂取は大事です。
ちなみに、連用していれば慣れてきますが連用はダメです。
吐き気
この系統で起こりやすい副作用の二つ目が吐き気です。
ただ、一般的な市販薬に入っている量で吐き気が出ることはあまり無いかと思います。
アネトンだと1日50mgですしね。
でも薬を飲んで「気持ち悪い…」となったら止めた方が良いでしょう。
ちなみに、これも連用していれば慣れてきますが連用はダメです。
眠気
この系統で起こりやすい副作用の三つ目が眠気です。
医療用の薬の添付文書には、
眠気、めまいが起こることがあるので、本剤投与中の患者には自動車の運転等危険を伴う機械の操作に従事させないよう注意すること。
と記載があります。
この薬単発でも眠くなる可能性がありますが、アネトンには液剤にも錠剤にもクロルフェニラミンが12mg/日入っています。人によってはかなり眠くなるでしょうね。
これも慣れてはくるはずですが…生活に支障が出る場合は飲む回数を減らしたり減量した方が良いでしょうね。
相互作用
併用禁忌のものはありませんが、いくつか併用注意のものがあります。
医療用の「コデインリン酸塩散1%「ホエイ」」の添付文書に書いてあるものをそのまま載せておきます。
| 薬剤名等 | 臨床症状・措置方法 | 機序・危険因子 |
|---|---|---|
| 中枢神経抑制剤 フェノチアジン系薬剤、 バルビツール酸系薬剤等 吸入麻酔剤 モノアミン酸化酵素阻害剤 三環系抗うつ剤 β-遮断剤 アルコール | 呼吸抑制、低血圧及び顕著な鎮静又は昏睡が起こることがある。 | 相加的に中枢神経抑制作用が増強される。 |
| ワルファリン | ワルファリンの作用が増強されることがある。 | 機序は不明である。 |
| 抗コリン作動性薬剤 | 麻痺性イレウスに至る重篤な便秘又は尿貯留が起こるおそれがある。 | 相加的に抗コリン作用が増強される。 |
| ナルメフェン塩酸塩水和物 | 本剤の効果が減弱するおそれがある。 | μオピオイド受容体拮抗作用により、本剤の作用が競合的に阻害される。 |
薬物乱用について
近年、市販薬による薬物乱用が増えていますが、その筆頭がコデインと同じような成分のジヒドロコデインです。
(73.5%がジヒドロコデイン含有製品というデータも)
コデインはジヒドロコデインよりは嗜癖性(ここでは依存性)はちょっと弱いようです。

とはいっても、似たようなものです。多く飲めば依存は形成されます。
市販薬は医療用医薬品と違い、店頭やネットで簡単に買えますしね。
一時的に多幸感があったり気分が落ち着いたり疲労感がなくなったりしますが、同じ量を服用していても効き目が薄くなっていき、服用量が増えていきます。
大量に飲めば麻薬と同じです。
「オーバードーズ(過剰摂取)」というやつですね。
コデイン単体でも薬物依存が形成されますが、「アネトン」の場合は他にも
・クロルフェニラミン
・メチルエフェドリン
・カフェイン
などが入っていて、依存形成を助長します。
コデインは「アネトン」くらいにしか入ってないので、いろいろな製品に入っているジヒドロコデインを使う方が多いでしょうね。
通常用量で問題になる事はまずないと思います。
「用法用量を守って」というのは副作用発現以外にも理由があります。
このブログ内でたまに書いている
「必要な成分を必要な分だけ使う」
という鉄則は、患者さん本人の身を守るためのものです。
自分の身は自分で守るようにしてください。
コメント