
胃酸を抑える薬としては、市販薬では主に
・H₂ブロッカー
・PPI
があり、PPIの方が強力に胃酸分泌を抑えます。
(抗コリン薬なんかも胃酸分泌を抑えますがここでは割愛。あれはどちらかというと鎮痙)
ということでPPIが出てきてから存在感が薄くなったH₂ブロッカーですが、まだまだちゃんと現役です。
「どちらが良いか?」という話ではなくて、症状により使い分けるものですね。
PPIは「要指導医薬品」となり、薬剤師が対面で販売しないといけないものです。ネットでもダメ。
H₂ブロッカーは「第一類医薬品」で、ネットでも買えます。
ちょっとしたやり取りはありますがPPIより手軽に買えますね。
現在市販されているH₂ブロッカーは2成分のみ(2026年1月時点)。
それらの特徴や注意点を解説します。
あとついでに、他のH₂ブロッカーについても最後の方に載せておきます。
PPIについてはこちらを見てみてください。

H₂ブロッカーのメカニズムとか
作用
胃粘膜壁細胞の「ヒスタミンH₂受容体を遮断」することで、胃酸の分泌を抑えます。
「H₂(受容体)をブロックするもの」ということで「H₂ブロッカー」と呼ばれます。
胃酸が分泌される経路は主に3つあります。
(詳しくはPPIの「オメプラゾール」の記事に書いてます)

ガストリン、ヒスタミン、アセチルコリンがそれぞれの受容体に結合し、プロトンポンプというところに信号を送ることで塩酸(HCl)が作られます。
ガストリンやアセチルコリンも間接的にプロトンポンプを刺激して胃酸の分泌を促すのですが、これら二つはヒスタミンを放出する作用もあります。
ということで一番影響が大きいのがヒスタミンとなりますが、H₂ブロッカーはH₂受容体を遮断することでヒスタミンのH₂受容体への結合を阻害、プロトンポンプに信号が送られなくなり、胃酸分泌を抑制します。
蛇足:かゆみに使うこともある
(そこそこマニアックな内容です)
(そこそこマニアックな内容です)
H₂ブロッカーは基本的には「胃酸を抑えるもの」という考えで良いのですが、たまに皮膚科で蕁麻疹などの「かゆみ」に使われることがあります。
通常、「かゆみ止め」といえばヒスタミンH₁受容体を遮断する「抗ヒスタミン薬(H₁受容体拮抗薬)」ですね。
ではなぜH₁ではなくH₂ブロッカーが蕁麻疹などに使われる(ことがある)のか?
皮膚の血管内皮細胞にもH₂受容体があり、ここにヒスタミンがくっつくと血管が拡張して赤みが出たりします。H₂ブロッカーはそれを抑える可能性があるんですね。
また、H₁受容体とH₂受容体は完全に別々のものというわけでもなく、細胞膜上で互いにくっつき「ヘテロ二量体(ヘテロダイマー)」と呼ばれるペアを形成することが明らかになっています。
(Cross-desensitization and cointernalization of H1 and H2 histamine receptors reveal new insights into histamine signal integration、Involvement of histamine H1 and H2 receptor inverse agonists in receptor’s crossregulationより)
複雑な機構なのですが、条件によってはH₂受容体に作用した刺激をきっかけに、ペアになっているH₁受容体も一緒に細胞膜上から細胞内へ取り込まれることがあります(共内在化)。
つまり、
- H₂受容体にH₂ブロッカーがくっつく
- H₂受容体とペアのH₁受容体が一緒に細胞内に引っ込む
- 細胞膜上のH₁受容体の数が減る
- ヒスタミンがH₁受容体にくっつけなくなる
- ヒスタミンの作用が弱くなる
- かゆみがちょっと軽くなるかも?
という事が起こりうる、というまだちょっとハッキリしない段階の話です。
ややこしいのですが、内在化することでヒスタミンの作用を抑えつつ、細胞膜上に残っているH₁受容体を抗ヒスタミン薬がブロックするため、全体的なバランスとしてはプラスとなる、という感じ。
ただ、あくまでメインではなく補助的なものですね。
ちょっとでも症状を軽くしたいときに抗ヒスタミン薬(H₁受容体拮抗薬)と併用することがある、ということです。
また、ヒスタミンは肥満細胞というとこのH₂受容体に結合するとヒスタミンの遊離を抑制します。
つまりヒスタミンがヒスタミンを抑えるんですね。ネガティブフィードバックというやつです。暴走しないための体の仕組みですね。
なので、「H₂ブロッカーを単独で使うとヒスタミンが増える可能性がある」のですが、そもそもかゆみがあって受診した人にH₂ブロッカーが単独で処方されることはまずありません。必ず抗ヒスタミン薬が処方されます。
「じゃあ普通に胃薬として使っていたら痒みとか出るのか?」という疑問もあるかもしれませんが、各H₂ブロッカーのインタビューフォームを見るとそんなこともないですね。臨床的には問題にならない程度なのでしょう。
たまに「H₂ブロッカーはH₁受容体も阻害するためかゆみに使われることが~」みたいな話もありますが、H₂ブロッカーのH₁受容体への親和性は桁違いに低いです。ゼロってことではないのですが、蕁麻疹などに使う場合はあくまでも「皮膚血管のH₂受容体遮断」「共内在化による細胞膜上のH₁受容体減少」が目的と考えて良いでしょう。
「H₁受容体も遮断する」と書いてるのは分かりやすく説明するためだと思います。たぶん。
市販のH₂ブロッカーは2成分だけですが、医療用では現在5成分あります。
(そのほかにラニチジンという成分もあり、以前は普通に使われていたのですが、現在は販売中止となっています。これについては後述します)
各成分による胃酸分泌抑制作用の強さの比較ですが、一概には言えませんが、
シメチジンを基準として、同じ成分量の場合
・ファモチジン:約40倍(イヌ)
・ラフチジン:約2.3倍(ラット)
・ニザチジン:約5.2~10倍(ラットおよびイヌ)
・ロキサチジン:具体的なデータはないけどシメチジンと同等以上
・ラニチジン:分からないけどシメチジンよりは強い
という感じになっています(各インタビューフォームより)。
※動物種や評価法が違うので単純比較はできません。あくまで目安ですね。
ただ、実際に使われる標準量でいうとあまり大差はない、とされています。
医療用ではファモチジンが一番多く、次にラフチジン、その次にニザチジンが使われている印象です。
シメチジンやロキサチジンは以前は市販薬もあったのですが、現在は販売されていません。
ラフチジンは現時点ではそもそも市販薬として販売されていません。もったいない。
PPIとの違い
H₂ブロッカーもPPIも胃酸を抑える薬ですが、下の表のような違いがあります。
| H₂ブロッカー | PPI | |
|---|---|---|
| 胃酸を抑える強さ | PPIよりは弱い | 強い |
| 効き目の早さ | 即効性 | 数日~1週間かかる |
| 効き目の長さ | 短い (基本は1日2回) | 長い (基本は1日1回) |
| 抑えるのが 得意な胃酸 | 夜間の胃酸 | 食後の胃酸 |
| 適した症状 | 急な胃痛・胸やけ | 継続的な胸やけ・もたれ |
| 耐性 | ある | 起こりにくい |
| H₂ブロッカー | PPI | |
|---|---|---|
| 胃酸を抑える強さ | PPIよりは弱い | 強い |
| 効き目の早さ | 即効性 | 数日~1週間かかる |
| 効き目の長さ | 短い (基本は1日2回) | 長い (基本は1日1回) |
| 抑えるのが 得意な胃酸 | 夜間の胃酸 | 食後の胃酸 |
| 適した症状 | 急な胃痛・胸やけ | 継続的な胸やけ・もたれ |
| 耐性 | ある | 起こりにくい |
ザックリだとこんなところでしょうか。細かい事だとたくさんありますけど。
H₂ブロッカーは胃酸分泌の3つの経路のうち1つを抑えますが、胃酸が減ると他の経路が活発になるため効きが悪くなってきます。
PPIは最終段階を止めるので強力かつ耐性が生じにくいってわけですね。
ただ、PPIの効果が出るには数日はかかります。「今この瞬間胃が痛いの!」というときはH₂ブロッカーの方が速く効くので良いでしょうね。
PPIは主に食後の胃酸分泌を強力に抑えます。夜間の胃酸分泌はH₂ブロッカーの方が強く抑えるので、状況によって使い分けると良いでしょう。
市販のH₂ブロッカー
以前はいろいろと出ていたのですが、2026年1月現在では2成分(計13製品)しかありませんでした。
効能はすべて「胃痛、もたれ、胸やけ、むかつき」です。
食後とか食前の指定はありません。
あくまで「症状が出たときに」服用してください。
現在出ている製品はすべて「15歳以上、80歳未満の方」しか使えません(医療用ではそんなこともないけど)。
実勢価格のところは
・Amazon:(A)
・Yahooショッピング:(Y)
での価格となっています。とりあえず一番安いのを載せてるので目安と思ってください。
※2026年1月時点の価格です。
ニザチジン(2製品)
| 製品名 | 1回服用量 | 包装 | 希望小売価格 | 実勢価格 | 製造販売元 |
|---|---|---|---|---|---|
| アシノンZ胃腸内服液 | 1瓶(30ml) | 30ml×3本 | 1,026円 | 2,024円(Y) ネットだと高い | ゼリア新薬工業 |
| アシノンZ錠 | 1錠 | 14錠 | 1,540円 | 844円(Y) | ゼリア新薬工業 |
| 製品名 | 1回服用量 | 包装 | 希望小売価格 | 実勢価格 | 製造販売元 |
|---|---|---|---|---|---|
| アシノンZ胃腸 内服液 | 1瓶(30ml):75mg | 30ml×3本 | 1,026円 | 2,024円(Y) ネットだと高い | ゼリア新薬工業 |
| アシノンZ錠 | 1錠:75mg | 14錠 | 1,540円 | 844円(Y) | ゼリア新薬工業 |
2製品とも
・1回75mg
・1日2回まで(8時間空ける)
となっています。
液体タイプと錠剤タイプですね。
「内服液」の方はなんでか希望小売価格価格よりもかなり高くなっていました。
『アシノンZ錠』には以前は6錠と12錠のもあったようですが、現在は14錠のみとなっています。
あと、以前はカプセルのもあったようです。
ニザチジンの特徴としては、胃酸の分泌を抑えるほかに、
・胃の運動を促進する
・唾液分泌を促進する
といった作用があります。
ちなみに、「アシノン」は医療用でも同じ名前ですね。メーカーも同じ。
医療用のも以前はカプセルのがあったのですが、いつの間にか錠剤だけになってました。後発品だと今でもカプセルのがあります。
使用頻度はあまり高くはないですが、今でも使われていますね。
ファモチジン(11製品)
『ガスター10』の「リバースコントロール」というのは2025年3月に製造終了となっているのですが、まだ販売はされているので一応載せておきます。
| 製品名 | 1回服用量 | 包装 | 希望小売価格 | 実勢価格 | 製造販売元 |
|---|---|---|---|---|---|
| ガスター10<錠> | 1錠 | 6錠 12錠 | 1,078円 1,738円 | 712円(A) 1,028円(A) | 第一三共ヘルスケア |
| ガスター10 S錠 | 1錠 | 6錠 12錠 | 1,078円 1,738円 | 694円(A) 1,028円(A) | 第一三共ヘルスケア |
| ガスター10 S錠 リバースコントロール 製造終了 | 1錠 | 9錠 | 不明 | 1,169円(Y) | 第一三共ヘルスケア |
| ガスター10<散> | 1包(0.5g) | 6包 12包 | 1,078円 1,738円 | 876円(A) 1,028円(A) | 第一三共ヘルスケア |
| ガスター10<散> リバースコントロール 製造終了 | 1包(0.5g) | 9包 | 不明 | 1,630円(A) | 第一三共ヘルスケア |
| シオガストOD錠10 | 1錠 | 12錠 | 不明 | 980円(Y) | リョートーファイン |
| ファモガス錠10 | 1錠 | 12錠 | 不明 | 1,187円(Y) | シオノケミカル |
| ファモガスOD錠10 | 1錠 | 12錠 | 不明 | 1,188円(Y) | シオノケミカル |
| ファモチジン錠 「クニヒロ」 | 1錠 | 6錠 12錠 | オープン価格 | 253円(Y) 326円(Y) | 皇漢堂 |
| ファモチジン錠M | 1錠 | 12錠 | オープン価格 | 1,408円(Y) | 皇漢堂 |
| ベッセンH2錠 | 1錠 | 12錠 | 不明 | 1,093円(Y) | シオノケミカル |
| 製品名 | 1回服用量 | 包装 | 希望小売価格 | 実勢価格 | 製造販売元 |
|---|---|---|---|---|---|
| ガスター10<錠> | 1錠 | 6錠 12錠 | 1,078円 1,738円 | 712円(A) 1,028円(A) | 第一三共ヘルスケア |
| ガスター10 S錠 | 1錠 | 6錠 12錠 | 1,078円 1,738円 | 694円(A) 1,028円(A) | 第一三共ヘルスケア |
| ガスター10 S錠 リバースコントロール 製造終了 | 1錠 | 9錠 | 不明 | 1,169円(Y) | 第一三共ヘルスケア |
| ガスター10<散> | 1包(0.5g) | 6包 12包 | 1,078円 1,738円 | 876円(A) 1,028円(A) | 第一三共ヘルスケア |
| ガスター10<散> リバースコントロール 製造終了 | 1包(0.5g) | 9包 | 不明 | 1,630円(A) | 第一三共ヘルスケア |
| シオガストOD錠10 | 1錠 | 12錠 | 不明 | 980円(Y) | リョートーファイン |
| ファモガス錠10 | 1錠 | 12錠 | 不明 | 1,187円(Y) | シオノケミカル |
| ファモガスOD錠10 | 1錠 | 12錠 | 不明 | 1,188円(Y) | シオノケミカル |
| ファモチジン錠 「クニヒロ」 | 1錠 | 6錠 12錠 | オープン価格 | 253円(Y) 326円(Y) | 皇漢堂 |
| ファモチジン錠M | 1錠 | 12錠 | オープン価格 | 1,408円(Y) | 皇漢堂 |
| ベッセンH2錠 | 1錠 | 12錠 | 不明 | 1,093円(Y) | シオノケミカル |
すべての製品が
・1回10mg
・1日2回まで(8時間空ける)
となっています。
『ガスター10 S錠』、『シオガストOD錠10』、『ファモガスOD錠10』は口腔内崩壊錠となっていて、水なしでも飲めます。唾液で崩れるタイプですね。
ただ、口腔粘膜から吸収されるわけではないので唾液や水で飲みこんでください。
「ガスター」には以前は内服液とか女性用とかもあったようです。女性用といってもパッケージがピンクっていうだけですけど。
「リバースコントロール」の名称は「胃酸の逆流を制御する」という効き目を分かりやすくするために付けたと思うのですが、内容は他のと何も変わりません。てことで今のガスターシリーズに集約されたみたいです。たぶん。
ここでも「クニヒロ」がダントツで安いですね。なんなんでしょうね?この会社。
医療用のファモチジン10mgの1錠の薬価は10.4円なので、これでも利益は出てるのかな。
特にこだわりがないのであればこれで良いでしょうね。H₂ブロッカー1錠に100円も払うのはもったいないです。
ちなみにこれです。パッケージには「クニヒロ」と書いてないので分かりにくいけど。これは楽天のですね。
【第1類医薬品】 【皇漢堂】 ファモチジン錠 「クニヒロ」 12錠※セルフメディケーション税制対象品
『ファモチジン錠「クニヒロ」』と『ファモチジン錠M』はどちらも皇漢堂の製品なのですが、『ファモチジン錠M』の方はツルハのプライベートブランド「くらしリズム」の物みたいです。間にツルハが入ってるので高いのかな?中身は同じものです。
ファモチジンは胃酸を抑える作用の他に、胃粘膜の血流量を増やす作用があります。
胃粘液が増えるわけではないのですが、血流が増えることで有害物質の除去や傷ついた細胞の修復を促進します。
あくまでも胃酸を抑えるのが主の作用なので、これらは補助的ではありますけど。
医療用で使われているH₂ブロッカーは、このファモチジンが一番多いかと思います。
「ガスター」が有名ですね。市販のも同じ名前を使っていますし。
少量でも効果が強く、持続時間も長め、相互作用も少ないということで効果と安全性が評価されているのでしょうね。
製造終了したファモチジンの市販薬
一応載せておきます。
| 製品名 | 製造販売元 |
|---|---|
| エフィール | 山之内製薬 |
| ニチブロック10 | 新新薬品工業 |
| ハリー胃腸薬 | 大興製薬 |
| ファモチジンOD錠10 「マイラン」 | マイラン製薬 |
| ファモチジン胃腸薬 ニッポー | 日邦薬品工業 |
注意点
副作用
H₂ブロッカーは安全性が高い薬ですが、副作用がまったくないわけではありません。
出やすいものとしては、
・下痢、便秘
・肝機能障害
でしょうか。このあたりはPPIと共通していますね。
発疹やかゆみはどんな薬でも起こりえます。合わないようならすぐに中止を。
これら以外だと、主に高齢者に「せん妄、錯乱、意識障害」などがあります。
これは脳内のH₂受容体を遮断することに起因すると考えられています。
(抗ヒスタミン薬は脳内のH₁受容体を遮断することで眠気が出ますが、これとは別)
高齢の方の場合、腎機能が低下していて体に溜まりやすくなっています。副作用も出やすくなるので注意してください。
市販薬は「80歳上は服用しないで」となっていますが、80歳未満でも起こりうるものです。
あと男性の「女性化乳房」もありますが、これはシメチジンに多く、ファモチジンやニザチジンは0.01%以下となっています(各インタビューフォームより)。
相互作用(飲み合わせ)
2成分とも併用禁忌はありません。
併用注意としては、
- ニザチジン:ゲフィチニブ、プルリフロキサシン、アタザナビル硫酸塩
これらの血中濃度が低下する可能性があります。- ゲフィチニブ:抗がん剤。商品名「イレッサ」
- プルリフロキサシン:抗菌薬。商品名「スオード」
- アタザナビル硫酸塩:抗HIV治療薬。商品名「レイアタッツ」(現在は販売中止)
- ファモチジン:イトラコナゾール(抗真菌薬。商品名「イトリゾール」)
イトラコナゾールの血中濃度が低下する可能性があります。
2成分で書かれている薬が違うのですが、すべて「胃内のpHが上昇することにより」吸収が低下するので同じですね。
これら以外でももちろんあるのですが、頓用で使うのであればそれほど心配はいらないでしょう。
妊娠中・授乳中
妊娠中も授乳中も、飲んでしまった場合でもあまり気にしなくて大丈夫です。
妊娠中
アシノン(ニザチジン)とガスター(ファモチジン)の添付文書には
「治療上の有益性が危険性を上回ると判断される場合にのみ投与」
の記載があります。
そしてアシノンの方には
「妊娠ウサギへの1500mg/kg投与群において、流産、胎仔体重の低下及び生存胎仔数の減少がみられている」
とも記載されています。ガスターの方には特に何も書かれていません。
1,500mg/kgだと50kgの人の場合、75,000mgです。
ニザチジンの市販薬の量は最大で1日150mgです。75,000mgは500倍の量ですね。
Briggs基準というものでは、
・ニザチジン:ND1(胎児への明らかな危険性は示されていない)
・ファモチジン:適合1(妊娠中の投与に適する)
となっています。
ファモチジンの方がデータが多い分、安心かもしれませんね。
ただ、基本的に妊娠中の方に市販薬の使用はお勧めしません。必ず受診を。
授乳中
アシノン(ニザチジン)とガスター(ファモチジン)の添付文書には
「授乳の継続又は中止を検討すること」
の記載があります。
そしてアシノンの方には
「動物実験(ラット)で乳汁中への移行及び新生仔の発育障害がみられている」、
ファモチジンは
「母乳中に移行することが報告されている」
とそれぞれ記載があります。
RIDという指標があり、これが10%以下であればほぼ安全という目安になるのですが、
ニザチジン:0.1%未満
ファモチジン:2%未満
となっています(「妊娠と授乳」より)。
またMothers’Milkの基準では
ニザチジン:L2(概ね適合。リスクの可能性のある根拠はほとんどない)
ファモチジン:L1(適合。児に害を与える可能性はほとんどない)
となっています。
服用期間
すべての製品が
「3日間服用しても症状の改善がみられない場合は、服用を止めて、医師又は薬剤師に相談してください」
「2週間を超えて続けて服用しないでください(重篤な消化器疾患を見過ごすおそれがあります)」
となっています。
H₂ブロッカーは性質上、続けて服用していると効き目が弱くなってきます。
胃酸の分泌を抑制すると別の経路(ガストリン)が強くなってしまうんですね。
症状があるときだけ、頓用で使用するようにしてください。
続けて飲んでないと胃が痛い、胸やけがする、というのであれば消化器科を受診した方が良いでしょう。
胃痛の場合、便が黒くなっていたら出血してる可能性があるので便の色も見ておいた方が良いでしょうね。
市販薬はあくまで一時しのぎに過ぎません。
おまけ:その他のH₂ブロッカー
H₂ブロッカーには他の成分もあるので紹介しておきます。
ついでに過去に販売されていた製品も載せておきます。記録として。
シメチジン
過去に販売されていた製品
| 製品名 | 製造販売元 |
|---|---|
| アルサメック | 佐藤製薬 |
| ザッツブロック | 住友製薬 |
| スカイジン | 住友製薬 |
| 住友胃腸薬スコープ | 住友製薬 |
| センロックエース | 住友製薬 |
| パンシロンH2ベスト | 藤沢薬品工業 |
| フロンティア | 藤沢薬品工業 |
シメチジンは最初に開発されたH₂ブロッカーです。
医療用では「タガメット」。
今では効果も弱く、持続時間も短い、相互作用が多いとなかなか使いにくい薬となっています。
医療用でもほぼ見かけることはなくなりましたね。自分がたまたまそうだというだけかもしれないけど。
シメチジンは胃薬としてよりは肩の石灰性腱炎に使われてた印象です。
シメチジンが石灰を縮小・消失させるということですが、ファモチジンでも同じようなことがあるようです。
こういう使われ方はここ10年くらいは見てないと思いますが、「肩石灰性腱炎に対するH₂受容体拮抗薬の治療成績」という2018年の資料があったので、今も実際に使われていて、かつ「効かない」とは断定されてない、ということですね。
また、PFAPA症候群(小児の周期性発熱)に対して、免疫調整作用を期待してシメチジンが使われることがあるそうです。ただ、エビデンスは限定的で標準治療ではありません。発作の予防に使うといった感じ。
胃薬としては確かに今ではあまり使われなくなったとしても、その功績は絶大ですね。
これが出てくる以前は胃潰瘍には効果の薄い制酸剤や抗コリン薬しかなく、ひどい場合は胃を切除するしかなかったのですから。
時代を一つ前に進めた薬であることは間違いないでしょうね。
ラニチジン
過去に販売されていた製品
| 製品名 | 製造販売元 |
|---|---|
| 大正エスブロックZ | 大正製薬 |
| アバロンZ | 大正製薬 |
| 三共Z胃腸薬 | 三共 (現:第一三共 ヘルスケア) |
ラニチジンはシメチジンに次いで開発されたH₂ブロッカーです。
医療用では「ザンタック」。
シメチジンよりも強力かつ長時間効き、夜間の胃酸分泌抑制効果に優れていました。1日2回で良いのもメリットでしたね。
以前は普通に処方されていたのですが、現在は医療用・市販薬ともに流通していません。
2019年の秋頃に、「発がん性物質であるNDMA(N-ニトロソジメチルアミン)が混入している可能性」が指摘されたことから、先発品も後発品も一斉に自主回収されて、そのまま市場から撤退しました。

このNDMAですが、「混入した」というよりも「一定の条件下において、ラニチジン自体から発生する可能性がある」ということらしいです。
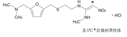
ラニチジンの構造式はこちら。

この左側の「H₃C-N-CH₃」の部分と右側の「NO₂」の部分がそろってしまっているため、構造式上発生しやすいと指摘されています。
Bloombergによると、このことは40年以上も前に指摘されていたと報じられています。アメリカで新薬として承認される前の話です。
ただ、メーカーの研究者は「胃の中や他のどこにもラニチジンが発がん性物質になる証拠はない」と主張したそうです。
1983年5月に、FDA(アメリカ食品医薬品局)は「ザンタック」の販売を承認しています。
日本では1984年11月に「ザンタック錠150」が発売されています。
2019年9月13日、FDAは民間の研究所(Valisure)からラニチジンについて警告する資料を受け取ります。
2019年9月26日に日本ではラニチジンを含む一部の製品が自主回収に。
10月9日に「NDMAが検出される可能性が否定できない」ということで回収対象が訂正されて、全製品が自主回収の対象になりました。
おそらく同時期に世界中で供給が停止しています。
2020年4月1日、FDAはすべてのラニチジン製品の市場からの撤去を要請。
今は裁判中らしいです。
アメリカでは多くの訴訟があったようですが、一部は和解が進んでいるようです。がんの発生の因果関係を認めない判断も出ているようですね。
NDMAは食べ物や水道水などそこら中に存在し、他の薬でも生成されうる可能性のあるものです。
なので、ラニチジンが原因でがんが発生したかどうかは証明するのが難しいですね。
逆に、がんの発生はラニチジンのせいではない、という証明も難しいです。
2023年の多国籍・大規模コホート(約118万人、11データベース)では、
「ラニチジン使用者のがんリスクは他のH₂ブロッカー使用者と差がなかった」
という結果が出ています(Ranitidine Use and Incident Cancer in a Multinational Cohortより)。
とはいえ、今では代替薬もあるし、わざわざ疑わしいものを使う必要もないでしょう。
H₂ブロッカー自体のシェアも減ってきています。
もうラニチジンが復活することはないかと思います。たぶん。
ロキサチジン
過去に販売されていた製品
| 製品名 | 製造販売元 |
|---|---|
| アルタットA | 帝国臓器製薬 |
| イノセアワンブロック | あすか製薬 |
医療用は「アルタット」。
効果はそこそこ、作用時間もそこそこ長い、相互作用はかなり少なく使いやすい薬だとは思うのですが…
個人的にはH₂ブロッカーの中で一番印象が薄いです。
これが出る前にすでにファモチジン(ガスター)が発売されてるんですよね。
「ガスター」は1985年7月発売
「アルタット」は1986年10月発売
ガスターが出て1年以上後です。
この1年って結構大きくて、すでに「ガスター」で症状が落ち着いている人に対して薬の変更をするか?というと、変更する理由は特にないんですよね。
じゃあ新規で処方するか?というと「ガスター」の効果や安全性がすでに確立されてるのにわざわざ新しいのを使う理由もあんまりないんですよね。
ガスターよりも効果・安全性が有意差をもって高い、となると話は別ですが、まあそんなこともなく…。
せめて発売時期がガスターより先だったら、もう少し使われていたかもしれませんね。
ラフチジン
ラニチジンと名前は似ていますが別物です。
医療用では「プロテカジン」。
発売は2000年4月で、他よりもかなり後に出てきたものですね。
従来のH₂ブロッカーとは少し異なるタイプ。
胃酸分泌抑制作用はファモチジンと同等以上、作用時間も長い、さらに胃粘膜保護作用や胃粘液増加作用も持っています。
他のH₂ブロッカーで問題になる事がある「高ガストリン血症」を生じにくい、というメリットもあります。
ファモチジンは腎排泄型(体の中で代謝をあまり受けず、尿と一緒に排泄される)
ラフチジンは肝代謝型(主にCYP3A4、一部CYP2D6)
となっています。
なのでラフチジンは腎機能が低下してる人でも用量の調節をする必要がない、ということになっていますね(透析の人は別)。
個人的には、ファモチジンに次いで使われている印象があるH₂ブロッカーですね。
ただ、市販薬は販売されたことはありません。
厚労省のサイトに「スイッチOTC医薬品有効成分リスト」というのがあって、そこに100成分載っているのですが、他のH₂ブロッカーはすべて載っているのにラフチジンは載ってないんですよね。
(令和7年7月31日時点のもの。ラニチジンはなぜかまだ載ってる)
「スイッチOTC」というものは、どの成分を使っていいかは自動的に決まるものではなく、原則として「要望が出て、検討されて、判断される」仕組みのようです。
(厚労省のサイトに「スイッチOTC医薬品の候補となる成分の要望募集について」というページがあります。一般消費者(個人)からの要望も受け付けているみたいですね)
なんでラフチジンがOTCとして認められてないのか?
他のH₂ブロッカーと比べて効果や安全性に劣る、ということは決してありません。
であれば、単に「要望がなかった」ということだと思います。
要望は誰でも出せるとはいえ、おそらくは製造メーカーが出すことが多いのではないでしょうか。「売りたい」から。
仮にメーカーが要望を出していれば、検討の対象にはなったと思います。他のH₂ブロッカーがOTC化されていることを考えると、通る可能性は高かったのではないかと思います。
なので、ラフチジンに関しては「メーカーがOTCの要望を出さなかった」のではないか?と。
なんで要望を出さなかったのか?
プロテカジンの発売自体が他のH₂ブロッカーよりも10~15年遅く、すでにファモチジンが定着、さらにH₂ブロッカーよりも強力なPPIが出てきています。
OTCとして出しても採算が合わない可能性がある、という判断をしたのかな?と。
あくまで個人的な推測です。間違えてたら教えてください。
ちなみにですが、いわゆる市販薬ではないのですが、一部の薬局のサイトでネット販売(零売)しているのを見かけました。
まあ、法律上はダメではないのでなんとも言えませんけど。
コメント